研究生教育

招生信息
位置: 首页 > 研究生教育 > 招生信息 > 正文

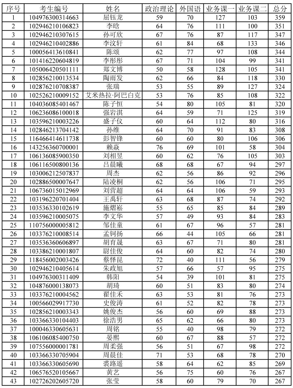
浙江科技大学2026年土木工程专业研究生复试名单(调剂第二轮)

时间:2026-04-09   点击数:


版权所有 © 浙江科技大学  JGXY@zust.edu.cn 浙ICP备11051284号  浙公网安备 33010602010616号

地址:浙江 · 杭州市留和路318号 邮编:310023